聯系電話:
0731-84284278
通用電子測試
射頻測試設備
光學和色彩測試
半導體設備
自動化測試系統
材料與結構分析
EMC測試設備
環境儀表/設備
光伏測試
實驗室檢測及配套
其他
行業解決方案
通用解決方案
系統集成業務
公司信息
人力資源
支持服務
聯系我們
湖南省長沙市車站北路湘域智慧南塔6樓
安徽省合肥市高新技術產業開發區科學大道110號新材料園F9A號樓511室
service@hncsw.net
資訊
以客戶的成功定義成功,賦能企業管理,來自企業的信賴
適用于定硫儀測硫儀/全自動定硫儀/電腦測硫儀/庫侖測硫儀/微機一體定硫儀/快速智能定硫儀 【 1 】氣路的氣密性下降: 流量計指示應在 0.8~~1.2 之間。若氣密性下降,重點應檢查以下部件:氣泵、流量計、玻璃管、橡膠管和氣路連接。 【 2 】電解池 1 、電解池漏氣導致
2015-09-15
在一個典型的無線系統中,現場工程師和技術人員經常面臨形式各樣的系統部件,包括天線、電纜、濾波器、多路復用器、放大器、隔離器、環行器、開關、低噪聲放大器等。每個部件的失誤,都可能導致整個系統失敗。而其他現場工作人員,則將在不同的射頻/微波系統上進行工
2015-09-14
萬用示波表在變頻器分析測量中的作用概述 智能變頻器 作為一種調速裝置以其多用途、高可靠性和高數節能而廣泛地用于各種馬達控制上,如冶金、造紙、電子產品裝配等生產線。在生產當中變頻器一旦發生故障;尤其是出現板級故障的,單憑經驗有時很難作出正確判斷,這時
驗電器信號發生器的使用注意 保證人身和設備的安全,確保發生器的完好性,發生器應在空氣流通,環境干燥的專用地點存放。 ▲ 使用時,先按下驗電器開關,初步判斷驗電器是否工作正常,再用驗電信號發生器進一步 檢測 驗電器是否工作正常。 ▲ 用左手握住驗電器頭與絕
氧彈充氧的情況下無法釋放氧彈內氣體 1.節流閥381VB 部分堵塞 答:更換節流閥 381VB 2.電磁閥氣體出口和密封/釋放圓柱體 961DD之間由氣體泄露,包括密封圈 357HCJV 損壞 答:檢查有關密封圈和 1/8 英寸壓力管及接頭或更換密封圈 357HCJV 點火失敗 點火棉線已經點燃,
2015-09-13
在 實驗室中,有不同種的吸樣和制樣方法,現在我們就金屬元素分析儀化驗鋼鐵時對鋼鐵的取樣及制樣方法進行一個統一的介紹: 一、金屬元素分析儀化驗鋼鐵時對鋼鐵的取樣及制樣品質 所采用的取樣方法應保證分析試樣能代表熔體或抽樣產品的化學成分平均值。 分析試樣在化
現在絕大多數食品檢測實驗室均是配置色-質聯用儀,單獨使用 質譜儀 檢測的已經非常少了。唯一單獨使用的是應用同位素質譜儀檢測蜂蜜等食品中的同位素比,以確定產品是否摻偽。本文主要介紹一下GC-MS購置時需要考慮的主要性能及功能。 GC-MS是高分離功能的GC與能提供
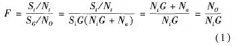
1 引言 噪聲系數是微波產品研制和生產過程中的一項主要測量參數,是表征接收機及其組成部件在有熱噪聲存在的情況下處理微弱信號能力的關鍵參數之一,噪聲系數的計量測試更是 噪聲計量 測試的重要內容。 在工程上定義噪聲因子(F)為若線性兩端口網絡具有確定的輸入端和
2015-09-12
在線客服
聯系電話
QQ客服
在線留言
關注我們
TOP
您好,歡迎訪問艾克賽普
想要進一步了解我們的產品和方案?
我們7*24小時為您服務!
電話咨詢:0731-84284278
在線咨詢
稍后聯系
提交您的需求,我們將盡快與您聯系
完善您的信息,艾克賽普專業團隊為您提供服務!
請選擇您要填寫的表單類型 *
獲取產品報價
獲取方案詳情
申請技術服務
公司名稱 *
姓名 *
手機號 *
郵箱
需求描述 *
驗證碼 *